GENERAL DESCRIPTION



The windshield and tailgate window glass are attached by an urethane-base adhesive to the window frame. This adhesive provides improved glass holding and sealing, and also gives body openings a greater structural strength.

ITEMS


Name
Remark
Adhesive
3M ATD Part No.8609 Super Fast Urethane Auto Glass Sealant or equivalent
Primer
3M ATD Part No.8608 Super Fast Urethane Primer or equivalent
Spacers
Available as service part
Dam
Available as service part
Anti-rust solvent (or Tectyl 506T.Valvoline Oil Company)
For rust prevention
Isopropyl alcohol
For grease removal from bonded surface
Steel piano wire
Dia. × length. 0.6mm × 1m For cutting adhesive
Glass adhesive knife
For cutting adhesive
Adhesive gun
For pressing-out adhesive

HANDLING OF AUTO WINDOW SEALER


Keep the sealant in a cool place, not exposed to the direct rays of the sun. Do not place any heavy article on the sealant nor press it, otherwise it will become deformed. Avoid storing the sealant for more than 6 months, because it will lose its sealing effect.

BODY PINCH-WELD FLANGE SERVICING


Before servicing the body pinch-weld flange, remove old adhesive completely. If the flange requires painting, bake it after painting is completed.

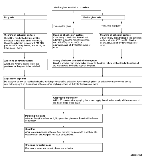
WINDOW GLASS INSTALLATION